Dr. Mathew V. Kiang1; Kate M. Bubar, PhD2; Dra. Yvonne Maldonado1,3y otros
JAMA 2025;333;(24):2176-2187. doi:10.1001/jama.2025.6495
Puntos clave
- Pregunta: ¿Cómo incidirá la disminución de las tasas de vacunación infantil en el riesgo de brotes y resurgimiento de enfermedades infecciosas previamente eliminadas en EE. UU.?
- Resultados: Con las tasas actuales, el sarampión podría volver a ser endémico; aumentar la cobertura vacunal lo evitaría. Una disminución del 50% en la vacunación infantil generaría, según la simulación, 51,2 millones de casos de sarampión en 25 años, además de millones de casos de rubéola y poliomielitis, cientos de casos de difteria, más de 10 millones de hospitalizaciones y cerca de 160 mil muertes.
- Significado: Es imprescindible mantener una alta cobertura de vacunación infantil para evitar el resurgimiento de enfermedades infecciosas prevenibles y sus complicaciones.
Resumen
Importancia
La vacunación infantil masiva ha permitido eliminar varias enfermedades infecciosas en EE. UU y el mundo. No obstante, las tasas de vacunación están descendiendo y existen debates sobre reducir el calendario vacunal, lo que podría facilitar el resurgimiento de enfermedades previamente eliminadas.
Objetivo
Estimar el impacto en casos y complicaciones bajo diferentes escenarios de disminución de la vacunación infantil contra sarampión, rubéola, poliomielitis y difteria.
Diseño y participantes
Se empleó un modelo de simulación parametrizado con datos demográficos, de inmunidad y de riesgo de importación para los 50 estados y el Distrito de Columbia, evaluando escenarios con distintas tasas de vacunación durante 25 años. Se usaron datos del período 2004-2023 para las tasas actuales.
Principales resultados
- Casos estimados de las cuatro enfermedades bajo distintos escenarios.
- Complicaciones asociadas (secuelas neurológicas, síndrome de rubéola congénita, poliomielitis paralítica, hospitalizaciones y muertes).
- Probabilidad y momento de restablecimiento de la endemicidad.
Resultados principales
Con las tasas estatales actuales, el sarampión podría volver a ser endémico (83% de simulaciones; tiempo medio: 20,9 años), con 851 300 casos estimados en 25 años. Si la vacunación MMR (sarampión, paperas y rubéola) disminuye 10%, se proyectan más de 11 millones de casos de sarampión en 25 años; en cambio, un aumento del 5% reduce los casos a solo 5 800. Para otras enfermedades, no se prevé restablecimiento de la endemicidad con las tasas actuales.
Una reducción del 50% en la vacunación infantil provocaría 51,2 millones de casos de sarampión, 9,9 millones de rubéola, 4,3 millones de poliomielitis y 197 de difteria. Habría más de 51 mil casos de secuelas neurológicas post-sarampión, más de 10 mil de síndrome de rubéola congénita, 5 400 de poliomielitis paralítica, 10,3 millones de hospitalizaciones y más de 159 mil muertes. En este escenario, el sarampión se volvería endémico a los 4,9 años y la rubéola a los 18,1 años; el poliovirus, en aproximadamente la mitad de las simulaciones, a los 19,6 años. Se observó gran variabilidad entre estados.
Conclusiones
La reducción de las tasas de vacunación infantil incrementará la frecuencia y magnitud de brotes de infecciones prevenibles previamente eliminadas, hasta su retorno a niveles endémicos. El momento y el umbral crítico para el regreso a la endemicidad varían según la enfermedad, siendo el sarampión el más probable en volver a esos niveles, incluso con las tasas actuales si no mejora la cobertura y la respuesta sanitaria. El estudio reafirma la necesidad de mantener una alta cobertura de vacunación infantil para evitar el resurgimiento de estas enfermedades.
Introducción
Desde principios del siglo XX, la vacunación infantil sistemática ha permitido eliminar varias enfermedades infecciosas en EE. UU., manteniendo la inmunidad poblacional por encima de un umbral crítico. Sin embargo, persisten casos esporádicos, mayormente importados por viajeros subinmunizados. La disminución de las tasas de vacunación, acentuada tras la pandemia de COVID-19 y favorecida por exenciones, desinformación y desconfianza, ha coincidido con un aumento de brotes, especialmente de sarampión. El debate sobre modificar o eliminar el calendario vacunal podría reducir aún más la cobertura.
El estudio busca estimar los riesgos de resurgimiento de enfermedades eliminadas y sus complicaciones, ante diferentes escenarios de disminución o suspensión de la vacunación infantil sistemática.
Métodos
Descripción del modelo
Se desarrolló un modelo de simulación estocástico, por edad e individuos, para estimar casos de sarampión, rubéola, poliomielitis y difteria en varios escenarios de disminución vacunal. Cada estado fue modelado independientemente, considerando parámetros epidemiológicos, demográficos e inmunitarios propios. Se asumió inmunidad total en vacunados o infectados, sin disminución de la protección a lo largo del tiempo.
El modelo tomó en cuenta la dinámica de transmisión, la mezcla social por edad y la protección materna temprana. Cada patógeno se parametrizó con base en literatura especializada. Se incluyeron riesgos de complicaciones y tasas de importación de infecciones, ajustadas por la población de cada estado.
Datos y validación
Se utilizaron datos demográficos y de inmunidad específicos por estado, combinando encuestas nacionales y literatura publicada. El modelo fue validado comparando sus predicciones bajo las coberturas actuales con los casos observados en registros oficiales recientes.
Análisis de escenarios
Se simularon distintos escenarios de reducción o aumento inmediato de la cobertura vacunal infantil (del 5% al 100%) y se proyectaron los efectos durante 25 años. Los resultados incluyeron infecciones, complicaciones, tiempo y probabilidad de restablecimiento de la endemicidad.
Se realizaron análisis de sensibilidad variando parámetros clave, incluyendo el número básico de reproducción (R0), el perfil de inmunidad y la tasa de importación, para evaluar la robustez de los resultados.
Resultados detallados
Al inicio de la simulación (2024), las coberturas vacunales variaban entre un 88% y 96% para MMR, 78%-91% para difteria y 90%-97% para poliomielitis, con inmunidad basal en niños de 85%-93% para sarampión y rubéola, 78%-91% para difteria y 90%-97% para poliovirus.
Con las tasas actuales, el modelo predijo en 25 años: 851 300 casos de sarampión, 190 de rubéola, 18 de poliomielitis y 8 de difteria, junto a 851 secuelas neurológicas post-sarampión, 170 200 hospitalizaciones y 2 550 muertes. Un aumento del 5% en la vacunación reduciría drásticamente los casos; una disminución del 10% los multiplicaría exponencialmente.
Una caída del 25% en la vacunación generaría 26,9 millones de casos de sarampión, 790 de rubéola, 87 600 de poliomielitis y 11 de difteria, con decenas de miles de complicaciones graves y más de 80 mil muertes. Con una reducción del 50%, los casos se duplicarían o multiplicarían según la enfermedad, con un impacto sanitario masivo.
El momento y la probabilidad de retorno a la endemicidad variaron: el sarampión resurgiría rápidamente (a los 4,9 años con -50% de cobertura), la rubéola y el poliovirus requerirían más tiempo y mayor disminución vacunal, y la difteria solo en escenarios extremos.
Discusión
La disminución de la vacunación infantil pone en riesgo la eliminación sostenida de enfermedades infecciosas. El sarampión, por su alta contagiosidad (R0=12), es el primero en volver a niveles endémicos si la inmunidad poblacional cae por debajo del umbral crítico (~92%). La inmunidad histórica y la frecuencia de importación de casos también condicionan el resurgimiento de cada enfermedad.
El estudio muestra que la reducción vacunal aumenta el número de personas susceptibles, eleva el riesgo de brotes y acelera el regreso de la transmisión endémica, con graves consecuencias sanitarias y sociales. Una vez restablecida la endemicidad, la eliminación de la enfermedad resulta mucho más difícil sin intervenciones drásticas.
Estas estimaciones ofrecen una base para la toma de decisiones de política sanitaria, subrayando la relevancia de mantener coberturas vacunales elevadas y vigilando la aparición de brotes, sobre todo en contextos de debate sobre el calendario vacunal.
Puntos clave
Pregunta: ¿Cómo afectará la disminución de las tasas de vacunación infantil al riesgo de brotes y resurgimiento de enfermedades infecciosas previamente eliminadas en los EE. UU.?
Resultados: Con las tasas de vacunación estatales actuales, el sarampión podría volver a ser endémico; aumentar la cobertura vacunal lo evitaría. Con una disminución del 50 % en la vacunación infantil en EE. UU., el modelo de simulación predijo 51,2 millones de casos de sarampión en un período de 25 años, 9,9 millones de casos de rubéola, 4,3 millones de casos de poliomielitis, 197 casos de difteria, 10,3 millones de hospitalizaciones y 159 200 muertes.
Significado Es necesaria la vacunación infantil con un alto nivel de cobertura para prevenir el resurgimiento de enfermedades infecciosas prevenibles mediante vacunación y sus complicaciones relacionadas con la infección en los EE. UU.
Abstract
Importancia La vacunación infantil generalizada ha eliminado muchas enfermedades infecciosas en Estados Unidos. Sin embargo, las tasas de vacunación están disminuyendo y se debaten políticas para reducir el calendario de vacunación infantil, lo que podría provocar el resurgimiento de enfermedades infecciosas previamente eliminadas.
Objetivo Estimar el número de casos y complicaciones en los EE. UU. en escenarios de disminución de la vacunación infantil contra el sarampión, la rubéola, la poliomielitis y la difteria.
Diseño, Entorno y Participantes. Se utilizó un modelo de simulación para evaluar la importación y la propagación dinámica de enfermedades infecciosas prevenibles mediante vacunación en 50 estados de EE. UU. y el Distrito de Columbia. El modelo se parametrizó con datos sobre estimaciones específicas de la zona en cuanto a demografía, inmunidad poblacional y riesgo de importación de enfermedades infecciosas. El modelo evaluó escenarios con diferentes tasas de vacunación a lo largo de un período de 25 años. Los datos de entrada para las tasas actuales de vacunación infantil se basaron en datos del período 2004-2023.
Resultados y medidas principales Los resultados primarios fueron los casos estimados de sarampión, rubéola, poliomielitis y difteria en los EE. UU. Los resultados secundarios fueron las tasas estimadas de complicaciones relacionadas con la infección (secuelas neurológicas posteriores al sarampión, síndrome de rubéola congénita, poliomielitis paralítica, hospitalización y muerte) y la probabilidad y el momento para que una infección restablezca la endemicidad.
Resultados
Con las tasas de vacunación estatales actuales, el modelo de simulación predice que el sarampión puede restablecer la endemicidad (83% de las simulaciones; tiempo medio de 20,9 años) con un estimado de 851 300 casos (intervalo de incertidumbre [IU] del 95%, 381 300 a 1,3 millones de casos) durante 25 años. En un escenario con una disminución del 10% en la vacunación contra el sarampión, las paperas y la rubéola (MMR), el modelo estima 11,1 millones (IU del 95%, 10,1-12,1 millones) de casos de sarampión durante 25 años, mientras que el modelo estima solo 5800 casos (IU del 95%, 3100-19 400 casos) con un aumento del 5% en la vacunación con MMR. Es poco probable que otras enfermedades prevenibles por vacunación restablezcan la endemicidad con los niveles actuales de vacunación. Si la vacunación infantil sistemática disminuyera en un 50%, el modelo predice 51,2 millones (95% UI, 49,7-52,5 millones) de casos de sarampión en un período de 25 años, 9,9 millones (95% UI, 6,4-13,0 millones) de casos de rubéola, 4,3 millones de casos (95% UI, 4 casos a 21,5 millones de casos) de poliomielitis y 197 casos (95% UI, 1-1000 casos) de difteria. En este escenario, el modelo predice 51 200 casos (95% UI, 49 600-52 600 casos) con secuelas neurológicas postsarampión, 10 700 casos (95% UI, 6700-14 600 casos) de síndrome de rubéola congénita, 5400 casos (95% UI, 0-26 300 casos) de poliomielitis paralítica, 10,3 millones de hospitalizaciones (95% UI, 9,9-10,5 millones de hospitalizaciones) y 159 200 muertes (95% UI, 151 200-164 700 muertes). En este escenario, el sarampión se volvió endémico a los 4,9 años (95% IU, 4,3-5,6 años) y la rubéola a los 18,1 años (95% IU, 17,0-19,6 años), mientras que el poliovirus volvió a niveles endémicos en aproximadamente la mitad de las simulaciones (56%) a los 19,6 años (95% IU, 14,0-24,7 años). Se observó una gran variación en la población estadounidense.
Conclusiones y relevancia.
Según las estimaciones de este estudio de modelado, la disminución de las tasas de vacunación infantil aumentará la frecuencia y la magnitud de los brotes de infecciones prevenibles mediante vacunación previamente eliminadas, lo que eventualmente conducirá a su retorno a niveles endémicos. El momento y el umbral crítico para el retorno a la endemicidad variarán sustancialmente según la enfermedad; es probable que el sarampión sea el primero en volver a niveles endémicos y podría ocurrir incluso con los niveles actuales de vacunación sin una mejor cobertura de vacunación y respuesta de salud pública. Estos hallazgos respaldan la necesidad de continuar la vacunación infantil de rutina con una alta cobertura para prevenir el resurgimiento de enfermedades infecciosas prevenibles mediante vacunación en los EE. UU.
Introducción
Desde principios del siglo XX, se han desarrollado vacunas para numerosas enfermedades infecciosas y se han implementado ampliamente en los EE. UU. a través de la vacunación infantil de rutina. 1 , 2 La alta cobertura de vacunación infantil ha llevado a la eliminación de varias enfermedades infecciosas (definida como el cese de la transmisión local sostenida, incluso para el sarampión, la rubéola, la difteria, la poliomielitis y otras, y la erradicación mundial de la viruela). 1 , 2 La vacunación continua para muchas de estas enfermedades infecciosas eliminadas por la vacuna se centra en mantener una alta inmunidad de la población por encima de un umbral crítico para prevenir la reaparición de la enfermedad.
Aunque las enfermedades infecciosas eliminadas de los EE. UU. siguen presentando casos esporádicos, la mayoría se deben a la importación de infecciones adquiridas en otros lugares, a menudo de un viajero estadounidense poco inmunizado que regresa de un país endémico. 3 – 6 Por lo tanto, los EE. UU. siguen siendo vulnerables a la reintroducción y resurgimiento de enfermedades infecciosas eliminadas mediante vacunas.
Las tasas de vacunación en los EE. UU. han estado disminuyendo y ahora hay debates de políticas en curso destinados a reducir el calendario de vacunación infantil. 7 , 8 Las tasas de vacunación decrecientes se aceleraron desde el inicio de la pandemia de COVID-19 7 debido a muchos factores, que incluyen políticas (p . ej., mayor uso de exenciones por creencias personales en los calendarios de vacunación infantil), desinformación, desconfianza y otros factores sociales y personales. 9-12 Este creciente sentimiento antivacunas ha coincidido con un aumento en el número de brotes y casos de enfermedades prevenibles por vacunación en los EE. UU. Desde 2024, ha habido un aumento en el número de brotes de sarampión (incluido un gran brote que surgió en el oeste de Texas), con un número significativo de hospitalizaciones pediátricas. 13
Recientemente, se ha iniciado un debate político más amplio en Estados Unidos sobre la posibilidad de revisar el antiguo calendario de vacunación infantil, incluido el cese de las recomendaciones de vacunación de rutina y la eliminación de los mandatos de vacunación en las escuelas para enfermedades actualmente eliminadas, lo que conduciría a una cobertura de vacunación sustancialmente menor. 8 , 14
El objetivo de este estudio de modelado fue comprender mejor los posibles efectos a largo plazo de la disminución o suspensión de la vacunación infantil sistemática contra el sarampión, la rubéola, la difteria y la poliomielitis, con el fin de fundamentar las políticas. En concreto, estimamos el riesgo de resurgimiento de enfermedades infecciosas previamente eliminadas y sus principales complicaciones infecciosas.
Métodos
Descripción del modelo
Desarrollamos un modelo de simulación para estimar el número de casos de sarampión, rubéola, poliomielitis y difteria en diferentes escenarios de disminución de la vacunación en EE. UU. El modelo estocástico, de tiempo discreto, específico para la edad y basado en individuos simuló la importación de infecciones y la transmisión dinámica de cada patógeno estratificado en los 50 estados de EE. UU. y el Distrito de Columbia (en adelante, «estados») (más detalles sobre el modelo se encuentran en el Apéndice electrónico del Suplemento 1 [en el apartado «Descripción general del modelo»]).
Al inicio de la simulación, cada individuo de la población se asignó a un grupo de edad y un estado de residencia, junto con un estado de inmunidad específico para el patógeno, determinado por su edad y estado, que determinó su asignación inicial al compartimento. Los individuos susceptibles expuestos a la infección progresaron a través de los estados de salud individuales del modelo, desde susceptibles a expuestos, infecciosos y finalmente recuperados para cada patógeno. <sup> 15</sup> Cada patógeno se modeló por separado con características y consideraciones únicas (se incluyen detalles adicionales en la Tabla , el Apéndice electrónico y la Tabla electrónica 1 del Suplemento 1 ).
Tabla. Datos de entrada del modelo epidemiológico, vacunación y complicaciones clínicas para enfermedades infecciosas eliminadas por la vacuna.
| Enfermedad infecciosa eliminada por vacuna | ||||
| Sarampión | Rubéola | Poliomielitis | Difteria | |
| Las entradas del modelo son a | ||||
| Número básico de reproducción, b | 12 | 4 | 4 | 2.5 |
| Período de latencia, d, c | 10 | 12 | 5 | 3 |
| Duración de la infecciosidad, d | 8 | 14 | 21 | 14 |
| Tasa de importación de infecciones, número de casos/ año | 34 | 5 | 0.2 | 0.2 |
| Eficacia de la vacuna, %, y | 97 | 97 | 90-100 | 90-100 |
| Inmunidad de la población | Específico por edad y estado | Específico por edad y estado | Específico por edad y estado | Específico por edad y estado |
| Riesgo de complicaciones relacionadas con la infección f | Secuelas neurológicas possarampión:0,1% Hospitalización:20% Muerte:0,3% | CRS: 65% de los embarazos entre las 0 y 16 semanas Muerte:30% de los casos de SRC | Poliomielitis paralítica:0,5% de los casos no vacunados Hospitalización:100% de los casos de polio paralítica Muerte:10% de los casos de polio paralítica | Hospitalización:100% de los casos no vacunados Muerte:10% de los casos no vacunados f |
Cada estado se modeló de forma independiente y contó con su propia parametrización; por lo tanto, los brotes de un estado no generaron casos ni brotes en otros. Al inicio de la creación del modelo (datos ingresados hasta finales de 2024), las personas con inmunidad se asignaron al compartimento de recuperados. Este compartimento incluyó a personas con inmunidad inducida por la vacuna o adquirida por infección, y se asumió que no se reduciría la protección (Apéndice electrónico en el Suplemento 1 ). 15 Se asumió que las vacunas contra el sarampión y la rubéola generaban una protección total contra la infección con una eficacia vacunal imperfecta ( Tabla y Tablas electrónicas 2-3 en el Suplemento 1 ), mientras que la vacunación contra el poliovirus y la difteria se modeló de forma diferente (Apéndice electrónico y Tablas electrónicas 4-5 en el Suplemento 1 ). 16 , 20 , 23 , 24
El poliovirus tenía un modelo distinto dada la protección inducida por la vacuna con la vacuna de poliovirus inactivado (se ha usado exclusivamente desde el año 2000 en los EE. UU.) es principalmente contra la gravedad clínica (es decir, poliomielitis paralítica) y la transmisión en lugar de contra la infección (eAppendix en el Suplemento 1 ). 21 , 23 , 42 , 43 También simulamos la protección derivada de la vacuna contra la difteria para reducir la gravedad clínica y la transmisión, pero no para bloquear la infección o la colonización (eAppendix en el Suplemento 1 ). 5 , 16 , 20 Usamos estimaciones de la literatura para parámetros clave de la historia natural (como el período de latencia y la duración de la infecciosidad) para cada enfermedad ( Tabla ).
Una entrada clave del modelo para cada patógeno fue el número básico de reproducción, que guió la parametrización del término de fuerza de infección para cada patógeno, que se varió en el análisis de sensibilidad. 16-19 La transmisión se modeló como un proceso dinámico, lo que significa que el riesgo general de infección se relacionó con el número de personas infecciosas activas en la población en un estado determinado. 15 El modelo tuvo en cuenta la mezcla social heterogénea específica por edad con base en matrices de contacto publicadas. 44 Consideramos la protección generada por la inmunidad materna a través de la transferencia pasiva de anticuerpos durante aproximadamente 6 meses (eApéndice en el Suplemento 1 ). 15 , 45 El modelo incluyó complicaciones relacionadas con la infección para cada patógeno ( Tabla ). Consideramos la demografía con tasas de natalidad específicas por estado y tasas de mortalidad específicas por estado y edad (eTabla 6 en el Suplemento 1 ). 46
Dado que las enfermedades infecciosas se han eliminado de los EE. UU., el riesgo diario de importación de infecciones para cada enfermedad infecciosa se modeló con base en estimaciones históricas del riesgo de importación de infecciones (eAppendix en el Suplemento 1 ). Los casos importados de enfermedades infecciosas ocurren con mayor frecuencia de un viajero estadounidense subinmunizado que adquiere la infección mientras viaja en un país endémico y luego regresa a los EE. UU. con el potencial de propagar la infección. 3 – 5 , 42 Supusimos que la tasa de importación de infecciones para cada enfermedad infecciosa tenía una distribución de Poisson, y la tasa de importación de infecciones se escaló proporcionalmente a medida que cambiaba la susceptibilidad de la población durante el período de simulación (eAppendix en el Suplemento 1 ). Modelamos el riesgo de importación de infecciones específico de cada estado en relación con su población total, lo que significa que los estados más poblados tenían un mayor riesgo absoluto de importación de infecciones. Usamos la población total como un sustituto amplio de la cantidad de viajes y el riesgo de importación de infecciones (eAppendix en el Suplemento 1 ), pero no tuvimos en cuenta formalmente el efecto de la movilidad o los viajes en avión sobre el riesgo de importación de infecciones.
Datos, parametrización del modelo y validación
Simulamos la población de cada estado usando demografía y perfiles únicos de inmunidad poblacional para cada enfermedad infecciosa. Para la demografía, incluimos estimaciones específicas del estado de 2019 de la Oficina del Censo de los EE. UU. para la tasa de natalidad, el tamaño de la población y la distribución por edad, y usamos tasas de mortalidad específicas por estado y edad del Centro Nacional de Estadísticas de Salud. 46 Para la generación de perfiles específicos por edad de inmunidad poblacional, usamos una combinación de datos de las Encuestas Nacionales de Inmunización y datos reportados en literatura publicada (información adicional aparece en el Apéndice electrónico en el Suplemento 1 y en la Tabla ). 25 – 33 Usamos estimaciones específicas por estado para inmunidad poblacional (basadas en datos de cobertura de vacunas disponibles de las Encuestas Nacionales de Inmunización) para individuos de 24 años de edad o menores. Para individuos mayores de 25 años de edad, asumimos un perfil general de inmunidad poblacional adulta de todo los EE. UU. para cada enfermedad infecciosa informado por literatura publicada. 25 – 33 Estos datos incluyeron estimaciones de seroprevalencia o datos de vacunas para la vacuna contra el sarampión, las paperas y la rubéola; la vacuna contra la difteria, el tétanos y la tos ferina; y la vacuna antipoliomielítica inactivada.
Cada infección presentó características patógenas únicas, incluyendo un número básico de reproducción, un período de latencia, la duración de la infecciosidad y el riesgo de complicaciones ( Tabla ). El riesgo de complicaciones relacionadas con la infección se calculó utilizando estimaciones de riesgo basadas en la literatura (es decir, la fracción de casos con la complicación).
Para evaluar la validez del modelo, lo ejecutamos con los niveles actuales de cobertura de vacunación durante un período de 5 años para cada enfermedad infecciosa. Posteriormente, comparamos el número estimado de casos con el número de casos observados, disponible públicamente, informado por los Centros para el Control y la Prevención de Enfermedades de EE. UU. para evaluar la precisión con la que el modelo refleja la dinámica de transmisión actual (Apéndice electrónico en el Suplemento 1 ). 47
Análisis de modelos y escenarios
Simulamos los modelos bajo diversos escenarios de cambio en la cobertura de vacunación infantil en EE. UU. La cobertura de vacunación infantil de referencia actual, específica para cada estado (definida como la tasa media de vacunación infantil de 2004 a 2023), se comparó con una disminución inmediata estimada del 5 % al 100 % (reducción porcentual relativa) en la cobertura de vacunación infantil (Tabla electrónica 7 en el Suplemento 1 ). El escenario de reducción del 100 % modeló el cese de la vacunación infantil sistemática. También modelamos un aumento inmediato en la cobertura de vacunación infantil del 5 % al 10 %. Cada escenario se modeló durante un período de 25 años para evaluar la dinámica de transmisión a largo plazo.
Resultados del modelo
Los resultados primarios fueron las infecciones estimadas por sarampión, rubéola, poliomielitis y difteria. Los resultados secundarios fueron las complicaciones estimadas relacionadas con la infección (secuelas neurológicas possarampión, poliomielitis paralítica, síndrome de rubéola congénita, hospitalización y fallecimiento), así como la probabilidad y el momento en que una infección restablece la endemicidad (Apéndice electrónico en el Suplemento 1 ).
En el caso del sarampión, las secuelas neurológicas incluyeron afecciones que abarcaron desde encefalitis primaria por sarampión con complicaciones persistentes, encefalomielitis diseminada aguda, encefalitis por cuerpos de inclusión y panencefalitis esclerosante subaguda (universalmente mortal y con frecuencia con un retraso de 1 a 10 años tras la primoinfección). 34 La hospitalización por sarampión suele deberse a complicaciones de neumonía o deshidratación, y más raramente, a encefalitis. Se recomienda el ingreso hospitalario en todos los casos clínicos de poliomielitis paralítica y difteria respiratoria para su tratamiento.
Estimamos los casos acumulados absolutos para cada resultado bajo diferentes escenarios de vacunación. Dadas las diferencias en el momento de los brotes y el retorno a la endemicidad debido a la estocasticidad con cierto comportamiento periódico, reportamos los recuentos acumulados. Dado que el modelo era estocástico, resumimos los resultados de 2000 simulaciones. Reportamos la media (tras aplicar el método winsorizante al 2% superior e inferior de las observaciones) y el intervalo de incertidumbre (IU) del 95% basado en el 95% central que consideró la incertidumbre estocástica.
También identificamos la probabilidad y el momento en que una enfermedad infecciosa volvió a niveles endémicos en un escenario dado (Apéndice electrónico en el Suplemento 1 ). Esto se basó en el momento en que la enfermedad infecciosa demostró transmisión local sostenida, definida conservadoramente como cuando un número de reproducción efectiva nacional aproximado de 1 o más se mantuvo durante un período de 12 meses. 15 También se evaluaron definiciones alternativas de endemicidad (Apéndice electrónico en el Suplemento 1 ).
Análisis de sensibilidad e incertidumbre
Realizamos un análisis de sensibilidad probabilístico utilizando múltiples entradas de modelo que se variaron simultáneamente en un rango de valores plausibles para determinar su efecto en los resultados (eTabla 1 en el Suplemento 1 ). Variamos el número básico de reproducción, el perfil de inmunidad de la población y la tasa de importación de la infección para cada patógeno utilizando el muestreo de hipercubo latino. Además, para el poliovirus y la difteria, variamos el factor de reducción de la transmisión debido a la vacunación. Esto generó un rango de resultados del modelo en torno a la estimación del estudio principal, que tuvo en cuenta la incertidumbre del parámetro además de la incertidumbre estocástica (eApéndice en el Suplemento 1 ). Posteriormente, estimamos los coeficientes de correlación de rango parcial para cada parámetro del modelo para evaluar sus efectos relativos en el resultado.
También generamos un análisis de sensibilidad en el que se modificaron las estimaciones de las complicaciones relacionadas con la infección (Apéndice electrónico en el Suplemento 1 ). Simulamos varias especificaciones alternativas del modelo para el análisis del caso base, incluyendo un riesgo estático de importación de la infección (es decir, no proporcional a la población susceptible) y suponiendo que la vacunación contra la difteria protegía contra la infección, pero no contra la transmisión.
Este estudio no fue una investigación en humanos, dado que se utilizaron datos agregados y simulación informática disponibles públicamente. Los códigos analíticos y los datos están disponibles públicamente. 48
Resultados
Al inicio de la simulación (en 2024), observamos una variación moderada a nivel estatal en la cobertura de la vacunación infantil (de 2004 a 2023), que oscilaba entre el 88 % y el 96 % para la vacunación contra el sarampión, las paperas y la rubéola, entre el 78 % y el 91 % para la difteria (la serie de vacunas contra la difteria, el tétanos y la tos ferina) y entre el 90 % y el 97 % para la serie de vacunas inactivadas contra la poliomielitis (véase el Apéndice electrónico para las definiciones de las vacunas y la Tabla electrónica 7 para las tasas de vacunación actuales por estado en el Suplemento 1 ). La inmunidad basal en niños (de 3 a 4 años de edad) osciló entre los estados entre el 85 % y el 93 % para el sarampión, entre el 85 % y el 93 % para la rubéola, entre el 78 % y el 91 % para la difteria (contra la difteria grave) y entre el 90 % y el 97 % para el poliovirus (contra la poliomielitis paralítica).
Para evaluar la validez del modelo, lo ejecutamos bajo un escenario base con niveles recientes de cobertura de vacunación a nivel estatal durante un período de 5 años. El número de casos predichos por el modelo coincidió en gran medida con las estimaciones históricas recientes, lo que explica la variación estocástica natural en las estimaciones, lo que respalda la validez del modelo actual (Figura 1 y Apéndice en el Suplemento 1 ).
Durante un período de 25 años y en un escenario con las tasas de vacunación actuales a nivel estatal, el modelo de simulación predijo que habría 851 300 casos (95 % IU, 381 300-1,3 millones de casos) de sarampión, 190 casos (95 % IU, 154-230 casos) de rubéola, 18 casos (95 % IU, 3-61 casos) de poliomielitis y 8 casos (95 % IU, 1-22 casos) de difteria. En este escenario, proyectamos 851 casos (95% UI, 372-1270 casos) con secuelas neurológicas posteriores al sarampión, 170 200 hospitalizaciones (95% UI, 76 200-250 000 hospitalizaciones) y 2550 muertes (95% UI, 1130-3760 muertes) ( Figura 1 y eTabla 8 en el Suplemento 1 ). En un escenario con tasas de vacunación contra el sarampión, las paperas y la rubéola a nivel estatal que fueran un 5% más altas durante 25 años, habría 5800 casos (95% UI, 3100-19 400 casos) de sarampión. Con una tasa de vacunación un 10% más alta, habría 2700 casos (95% UI, 2200-3400 casos) de sarampión. En cambio, en un escenario con una disminución del 10% en la vacunación contra el sarampión, las paperas y la rubéola, el modelo estima 11,1 millones (95% UI, 10,1-12,1 millones) de casos de sarampión.
Figura 1. Casos acumulados de sarampión, rubéola, difteria y poliomielitis durante un período de 25 años en diferentes escenarios de vacunación infantil de rutina en los EE. UU.

El modelo estimó el número de casos acumulados para cada enfermedad infecciosa bajo diferentes escenarios de vacunación infantil rutinaria (eje x), incluyendo disminución de la vacunación (5%-50%) y aumento de la vacunación (5%-10%). Cada escenario de vacunación es un porcentaje relativo del nivel actual específico del estado de vacunación infantil (área sombreada). Los rangos para los niveles actuales de vacunación específicos del estado aparecen bajo el eje x. Las estimaciones puntuales representan los casos acumulados medios durante el período de simulación de 25 años y las barras representan el percentil 95 del intervalo de incertidumbre estocástico (IU) alrededor de la estimación. El eje y está en una escala logarítmica. La tasa mediana de vacunación fue del 91,6% para el sarampión y la rubéola, del 93,0% para la poliomielitis y del 84,2% para la difteria.
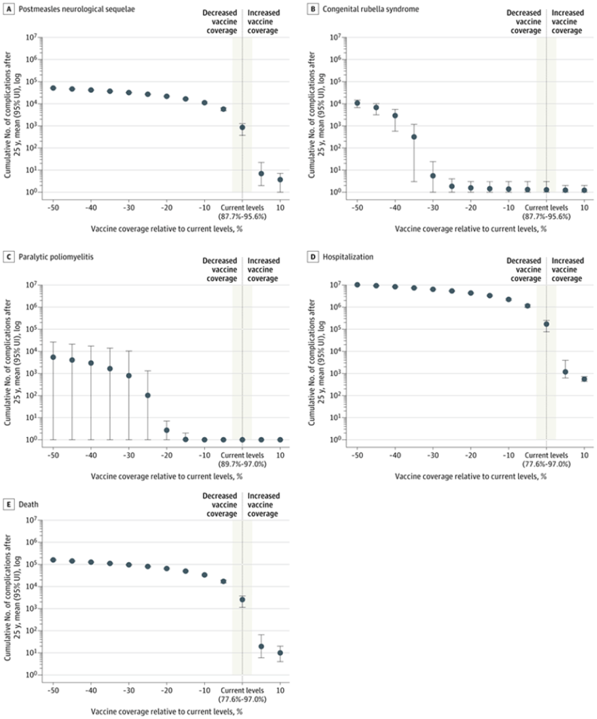
Si la vacunación infantil sistemática disminuyera en un 25%, estimamos que se producirían 26,9 millones (95% UI, 25,5 millones-28,1 millones) de casos de sarampión en el período de 25 años, 790 casos (95% UI, 429-1700 casos) de rubéola, 87 600 casos (95% UI, 3 casos a 1,7 millones de casos) de poliomielitis y 11 casos (95% UI, 1-52 casos) de difteria. En este escenario, proyectamos que habría 26 900 casos (95% UI, 25 500-28 100 casos) de secuelas neurológicas post sarampión, 100 casos (95% UI, 0-1300 casos) de poliomielitis paralítica, 1 caso (95% UI, 0-3 casos) de síndrome de rubéola congénita, 5,4 millones de hospitalizaciones (95% UI, 5,1-5,6 millones de hospitalizaciones) debido a todas las infecciones y 80 600 muertes (95% UI, 76 500-84 300 muertes) debido a todas las infecciones.
Si la vacunación infantil de rutina disminuyera en un 50%, el modelo de simulación predijo que habría 51,2 millones de casos (95% UI, 49,7-52,5 millones de casos) de sarampión durante un período de 25 años, 9,9 millones de casos (95% UI, 6,4-13,0 millones de casos) de rubéola, 4,3 millones de casos (95% UI, 4 casos a 21,5 millones de casos) de poliomielitis y 197 casos (95% UI, 1-1000 casos) de difteria. En este escenario, proyectamos que habría 51 200 casos (95% IU, 49 600-52 600 casos) de secuelas neurológicas postsarampión, 5400 casos (95% IU, 0-26 500 casos) de poliomielitis paralítica, 10 700 casos (95% IU, 6700-14 600 casos) de síndrome de rubéola congénita, 10,3 millones de hospitalizaciones (95% IU, 9,9-10,5 millones de hospitalizaciones) debido a todas las infecciones y 159 200 muertes (95% IU, 151 200-164 700 muertes) debido a todas las infecciones ( Figura 1 , Figura 2 y Tablas electrónicas 8-9 en el Suplemento 1 ).
Figura 2. Casos acumulados de complicaciones relacionadas con infecciones de sarampión, rubéola, poliomielitis y difteria durante un período de 25 años en diferentes escenarios de vacunación infantil de rutina en los EE. UU

El modelo estimó los casos acumulados de complicaciones relacionadas con la infección (eje y) a lo largo de 25 años en cada escenario de cambio en la vacunación infantil (véase la tabla para los datos de entrada del modelo) en relación con los niveles actuales de vacunación infantil específicos de cada estado (área sombreada). Los rangos para los niveles actuales específicos de cada estado aparecen bajo el eje x. Las estimaciones puntuales representan la media de los casos acumulados a lo largo del período de simulación de 25 años y las barras representan el percentil 95 del intervalo de incertidumbre estocástico (IU) en torno a la estimación. El eje y está en una escala logarítmica. La tasa mediana de vacunación fue del 91,6 % para el sarampión y la rubéola, del 93,0 % para la poliomielitis y del 84,2 % para la difteria.
Se presentan escenarios adicionales en la Figura 1 y en la eFigura 2 del Suplemento 1 , incluyendo el de la suspensión total de la vacunación infantil sistemática. El recuento acumulado de complicaciones relacionadas con la infección en cada escenario de vacunación se representa gráficamente en la Figura 2. El momento y la probabilidad de la primera complicación relacionada con la infección variaron según el tipo de complicación y la disminución de la vacunación en los diferentes escenarios (eFigura 3 del Suplemento 1 ).
Hubo diferencias clave en el momento del retorno a la endemicidad por enfermedad y escenario de cobertura de vacunación, siendo el sarampión el primero en volver a la endemicidad en la mayoría de las simulaciones ( Figura 3 ). Bajo el escenario de statu quo (que refleja los niveles actuales de vacunación infantil), se predijo que el sarampión volvería a la endemicidad en el 83% de las simulaciones en un estimado de 20,9 años (95% UI, 17,4-24,6 años), mientras que las otras enfermedades probablemente no volverían a la endemicidad. Sin embargo, este hallazgo cambió bajo el escenario con una cobertura de vacunación a nivel estatal un 5% más alta, en el que el sarampión no volvió a niveles endémicos.
Figura 3. Probabilidad prevista y tiempo para el retorno a la endemicidad del sarampión, la rubéola, la difteria y el poliovirus a lo largo del tiempo en diferentes escenarios de disminución de la vacunación en los EE. UU.


El modelo estimó la probabilidad de restablecer la endemicidad para un escenario dado en 2000 simulaciones; la ubicación de la estimación puntual (con respecto al eje x) representa el tiempo medio para restablecer la endemicidad para la proporción de simulaciones que lograron la endemicidad durante el período de simulación de 25 años (es decir, esta estimación de tiempo no incluye escenarios en los que no se restableció la endemicidad). La endemicidad se definió como cuando el número de reproducción efectiva aproximado a nivel nacional alcanzó 1 o más durante un período de 12 meses, lo que sugiere una transmisión local sostenida, que es una definición conservadora. También se evaluaron definiciones alternativas de endemicidad (eApéndice y eFigura 13 en el Suplemento 1 ). El tamaño de la estimación puntual representa la probabilidad de restablecer la endemicidad para un escenario dado en 2000 simulaciones. Las barras horizontales representan el percentil 95 del intervalo de incertidumbre alrededor de esta estimación sobre el tiempo hasta la endemicidad (para la proporción de simulaciones que lograron la eliminación). Se restableció la endemicidad del sarampión en una proporción muy alta de simulaciones, incluso con los niveles actuales de vacunación. La difteria fue la enfermedad con menor probabilidad de restablecer la endemicidad. En el escenario de alta vacunación (cambio ≥5% en la cobertura con respecto a los niveles actuales de vacunación), ninguna enfermedad restableció la endemicidad. La tasa mediana de vacunación fue del 91,6% para el sarampión y la rubéola, del 93,0% para la poliomielitis y del 84,2% para la difteria.
Con una reducción del 25% en la cobertura de vacunación a nivel estatal, el poliovirus se volvió endémico en el 11% de las simulaciones (tiempo medio de 23,3 años), mientras que la difteria y la rubéola no se volvieron endémicas en ninguna simulación. Con una reducción del 50% en la vacunación infantil, el sarampión volvió a ser endémico en el 99,8% de las simulaciones en un tiempo medio de 4,9 años (95% UI, 4,3-5,6 años), la rubéola volvió a ser endémica en el 100% de las simulaciones a los 18,1 años (95% UI, 17,0-19,6 años), el poliovirus volvió a ser endémico en el 55,6% de las simulaciones en un tiempo medio de 19,6 años (95% UI, 14,0-24,7 años), y la difteria volvió a ser endémica en menos del 1% de las simulaciones y tardó más de 2 décadas (la difteria sí se volvió endémica en un escenario con una mayor disminución de la vacuna). Hubo variación a nivel estatal en la susceptibilidad a los brotes y al retorno a la endemicidad para cada patógeno ( Figura 4 y eFiguras 4-10 en el Suplemento 1 ), y la población de Texas fue la que tuvo el mayor riesgo de contraer sarampión.
Figura 4. Heterogeneidad a nivel estatal en la incidencia acumulada de sarampión, rubéola, difteria y poliovirus ante una disminución del 25 % en la vacunación infantil de rutina a lo largo de 25 años en los EE. UU.

El modelo generó estimaciones de la incidencia acumulada de cada enfermedad infecciosa en un escenario con una disminución del 25 % en la vacunación infantil por estado durante el período de simulación. La tasa se promedia a lo largo de todo el período de simulación de 25 años. Otros escenarios de vacunación y patógenos aparecen en las eFiguras 4-6 del Suplemento 1. Los casos de rubéola y difteria fueron poco frecuentes en este escenario; por lo tanto, los ejes Y de B y C presentan pequeños incrementos.
En un análisis de sensibilidad, los parámetros más influyentes en los resultados del estudio fueron el número básico de reproducción del patógeno y la tasa de importación de la infección; otros parámetros del modelo también contribuyeron (Figura 11 en el Suplemento 1 ). Las conclusiones clave del estudio fueron generalmente consistentes en todos los análisis de sensibilidad (Figura 12 en el Suplemento 1 ). Con un número básico de reproducción más alto, el umbral crítico de inmunidad poblacional para prevenir la transmisión sostenida fue mayor, lo que condujo a un aumento no lineal del número de casos y a un retorno más temprano a la endemicidad en algunos escenarios de vacunación.
Una mayor tasa de importación de infecciones aumentó la probabilidad de restablecer la endemicidad después de que la inmunidad de la población de un estado descendiera por debajo del umbral crítico; por lo tanto, una mayor tasa de importación de infecciones a menudo condujo a un mayor número de casos acumulados y a un retorno más temprano a la endemicidad. Se observó una gran variación estocástica debido a la aleatoriedad temporal de la importación de la enfermedad (modelada como un proceso de distribución de Poisson) y la posterior propagación de la infección. Hubo mucha más incertidumbre en los resultados de poliomielitis y difteria, en parte debido a la rareza de las importaciones de estas infecciones.
También observamos que, al asumir una menor inmunidad inicial de la población, se redujo el tiempo necesario para el retorno a la endemicidad en algunos escenarios. Comparamos definiciones alternativas de endemicidad, que a menudo estimaban una proporción ligeramente mayor de simulaciones que conducían a la transmisión endémica y a un inicio más temprano de la endemicidad (eFiguras 13-14 del Suplemento 1 ).
Cuando la importación de infecciones se modeló como estática (en lugar de dinámica), los resultados fueron similares (eFigure 15 en el Suplemento 1 ). Cuando los casos importados se distribuyeron entre grupos de edad por tamaño de la población (en lugar de por susceptibilidad), los resultados fueron similares (eFigure 16 en el Suplemento 1 ). Cuando la vacunación contra la difteria se modeló como protectora contra la infección (en lugar de contra la transmisión), los resultados fueron similares (eFigure 17 en el Suplemento 1 ). Cuando se varió el número básico de reproducción del sarampión, la endemicidad persistió en un número básico de reproducción de 11 con los niveles actuales de cobertura de vacunación; con un número básico de reproducción de 10, se necesitó una disminución del 5% en la cobertura de vacunación para la endemicidad (eFigure 18 en el Suplemento 1 ).
Discusión
En este estudio de modelado, estimamos cómo la disminución de la vacunación infantil rutinaria afectaría el riesgo de resurgimiento de enfermedades infecciosas prevenibles mediante vacunación previamente eliminadas en EE. UU. El estudio se centró en el sarampión, la rubéola, la poliomielitis y la difteria, que se habían eliminado en EE. UU. mediante la vacunación generalizada. Se eligieron estas enfermedades por su gran importancia para la salud pública debido a su contagiosidad y al riesgo de complicaciones graves (incluida la muerte).
Observamos que, en ciertos escenarios de disminución de la vacunación, la reducción de la vacunación infantil sistemática provocará la reemergencia y el retorno a la endemicidad de las cuatro enfermedades infecciosas; sin embargo, el momento y la magnitud del número de casos, así como su umbral crítico de inmunidad poblacional, variaron considerablemente según la enfermedad. Con una disminución generalizada de la vacunación, se prevé que el sarampión sea la primera enfermedad en presentar grandes brotes y volver a la endemicidad. En el caso de la rubéola, el poliovirus y la difteria, los niveles de cobertura vacunal tendrían que disminuir durante un período más prolongado antes de que se observen brotes y una transmisión sostenida.
Un hallazgo clave es que, con los niveles actuales de vacunación, es probable que el sarampión regrese a niveles endémicos en los próximos 20 años, impulsado por estados con una cobertura de vacunación sistemática inferior a los niveles históricos y por debajo del umbral necesario para mantener la eliminación de la transmisión. Este estudio sugiere que, a largo plazo, EE. UU. podría estar acercándose al umbral de perder la inmunidad poblacional suficiente para prevenir de forma fiable la transmisión endémica del sarampión, y que podrían requerirse tasas de vacunación infantil más altas para evitarlo. Una salvedad importante es que nuestro estudio de simulación asumió niveles constantes de vacunación infantil actual a lo largo del tiempo, sin tener en cuenta los posibles aumentos en la vacunación infantil en respuesta al aumento del riesgo de brotes ni a las importantes actividades de respuesta de salud pública durante los brotes (como la vacunación reactiva). Un posible resultado podría ser que EE. UU. experimente un período de transmisión endémica del sarampión, seguido de esfuerzos para aumentar la cobertura vacunal y alcanzar el estado de eliminación. Con los niveles actuales de vacunación, es probable que las demás enfermedades infecciosas (rubéola, difteria y poliovirus) mantengan el estado de eliminación en EE. UU.; sin embargo, podrían producirse brotes esporádicos de diversa magnitud y duración tras la importación de estas enfermedades. Estos hallazgos subrayan la importancia de altos niveles de vacunación infantil sistemática para prevenir la reaparición de estas enfermedades infecciosas eliminadas.
Las tendencias en la disminución y el retraso de la vacunación en los EE. UU. son complejas; sin embargo, una relación clave ha sido la creciente reticencia a las vacunas y la disminución de las tasas de vacunación infantil de rutina con el tiempo. 7 , 13 Recientemente, se han debatido cambios más abruptos en el calendario de vacunación infantil, incluida la eliminación total de ciertas vacunas. 8 Aunque sigue habiendo un alto nivel de inmunidad poblacional debido a décadas de vacunación e históricamente, inmunidad adquirida por infecciones, las disminuciones en las vacunaciones de rutina aumentarán el número de personas susceptibles con el tiempo y pueden conducir al resurgimiento de muchas enfermedades infecciosas.
Este estudio tuvo como objetivo proporcionar estimaciones de los riesgos de enfermedades infecciosas en diferentes escenarios de disminución de la vacunación, teniendo en cuenta la variación a nivel estatal en la demografía, la inmunidad de la población y el riesgo de importación de infecciones para cada enfermedad. Estudios anteriores han evaluado la relación entre la disminución de la cobertura de vacunación, incluidas las exenciones no médicas a los requisitos de ingreso a la escuela para las vacunas infantiles, y el riesgo de brote. 9 , 49 , 50 Otros estudios han documentado cierta transmisión local de otras enfermedades eliminadas, como el caso de poliomielitis de 2022 en la ciudad de Nueva York, que encontró evidencia de transmisión posterior a través de la detección del poliovirus en las aguas residuales del estado de Nueva York en muchas ubicaciones. 51 Nuestro estudio se suma a esta literatura al estimar los brotes, el total de casos y la probabilidad de restablecer la endemicidad para cada infección en una amplia gama de escenarios proyectados a lo largo del tiempo en los EE. UU. durante un momento de disminución sustancial de la vacunación y debate sobre políticas.
El riesgo y el patrón de reemergencia de cada enfermedad infecciosa eliminada mediante vacuna son únicos. Las diferencias se explican en gran medida por algunos factores clave. En primer lugar, las características del patógeno —principalmente su infecciosidad (resumida por su número básico de reproducción)— determinan en gran medida el umbral de inmunidad poblacional necesario para prevenir la transmisión sostenida (conocido coloquialmente como inmunidad de grupo). Un número básico de reproducción más alto indica que se requiere una mayor inmunidad poblacional para prevenir la transmisión sostenida y, por lo tanto, lograr la eliminación de la enfermedad infecciosa. En nuestro estudio, el sarampión presentó el número básico de reproducción más alto, de 12. Por lo tanto, una vez que la inmunidad poblacional desciende por debajo del umbral crítico correspondiente para la inmunidad de grupo (aproximadamente el 92%), puede producirse un aumento no lineal de casos si se restablece la transmisión endémica.
En segundo lugar, la inmunidad poblacional inicial afecta el riesgo de retorno a la endemicidad (relacionado con la vacunación histórica). Cuanto mayor sea la inmunidad poblacional contra la infección por encima del umbral crítico, mayor será el margen de protección antes de que se manifiesten las consecuencias de la reducción de la vacunación infantil, que disminuye la inmunidad poblacional total.
En tercer lugar, el riesgo de importación de un caso infeccioso a los EE. UU. difiere drásticamente entre enfermedades. En los casos de estas enfermedades infecciosas eliminadas por la vacuna, los brotes solo comienzan cuando una persona se infecta fuera de los EE. UU. (caso índice) y luego regresa a los EE. UU. e infecta a otros. Lo más común es que el caso índice sea un viajero estadounidense que está subinmunizado y viaja fuera de los EE. UU. en un país endémico y luego regresa a los EE. UU. infectado y tiene el potencial de iniciar un brote. De las 4 enfermedades infecciosas evaluadas en el estudio actual, el sarampión es la enfermedad que se importa con mayor frecuencia, mientras que el poliovirus y la difteria son las más raras. 3 Factores adicionales relacionados con las heterogeneidades en la inmunidad, la protección derivada de la vacuna (ya sea contra la infección o contra la gravedad y transmisión de la enfermedad) y otras consideraciones epidemiológicas contribuyen a los hallazgos del estudio actual.
Estas estimaciones del estudio proporcionan datos para orientar las decisiones sobre la importancia de la vacunación infantil sistemática continua para prevenir los casos de enfermedades infecciosas y sus complicaciones. Asimismo, estos datos pueden generar expectativas sobre el riesgo de brotes y el cronograma de retorno a la endemicidad de diferentes enfermedades infecciosas según el grado de disminución de la vacunación. Si bien muchos escenarios incluyen IUs amplios del 95% inherentes a eventos aleatorios poco frecuentes (p. ej., importación de poliovirus o difteria), los escenarios ilustran cómo las diferentes tasas de vacunación pueden mitigar la media y el límite superior del IU del 95% (escenarios más desfavorables) para los casos acumulados y la carga de enfermedad.
Una vez que una enfermedad infecciosa retorna a niveles endémicos, lograr su eliminación puede ser difícil si no se realizan los esfuerzos suficientes para abordar la causa raíz de la disminución de la vacunación. A medida que los brotes se vuelven más comunes, es probable que la determinación de casos sea imperfecta, lo que significa que es probable que se produzca más transmisión de la que se detecta. Aunque poco frecuentes, las complicaciones relacionadas con la infección pueden volverse cada vez más comunes en los escenarios más extremos de disminución de la vacunación a medida que se restablece la transmisión endémica. En el caso de la rubéola, una vez establecida una transmisión suficiente, el riesgo de síndrome de rubéola congénita aumenta en función del grado de susceptibilidad debido a la inmunización insuficiente entre las personas de la población actual en edad fértil.