Anirudh Saraswathula, MD, MS1,2; Samantha J. Merck, MD, MHS3; Ge Bai, PhD, CPA4; et alChristine M. Weston, PhD5; Elizabeth Ann Skinner, MSW5; April Taylor, MHA, MS6; Allen Kachalia, MD, JD2,3; Renee Demski, MSW, MBA6; Albert W. Wu, MD, MPH2,5; Stephen A. Berry, MD, PhD2,3
JAMA. 2023;329(21):1840-1847. doi:10.1001/jama.2023.7271
Pregunta ¿Cuál es el costo anual para un hospital de cuidados intensivos de medir y reportar datos métricos de calidad, excluyendo los recursos gastados en intervenciones de mejora de la calidad?
La preparación y presentación de datos para 162 métricas de calidad únicas requirió un estimado de 108 478 horas-persona, con un costo estimado de $ 5 038 218.28 (2022 USD) en costos de personal más $ 602 730.66 adicionales en honorarios de proveedores. Las métricas basadas en notificaciones y abstraídas de gráficos utilizaron la mayor cantidad de recursos por métrica, mientras que las métricas electrónicas consumieron mucho menos.
Lo que significa que los responsables políticos deben considerar reducir el número de métricas y cambiar a métricas electrónicas, cuando sea posible, para optimizar los recursos gastados en la búsqueda general de una mayor calidad.
Abstract
Importancia Los hospitales estadounidenses informan datos sobre muchas métricas de calidad de la atención médica al gobierno y a organizaciones independientes de calificación de atención médica, pero el costo anual para los hospitales de cuidados agudos de medir y reportar datos de métricas de calidad, independientemente de los recursos gastados en intervenciones de calidad, no se conoce bien.
Objetivo: Evaluar las métricas de calidad de los pacientes hospitalizados informados externamente para pacientes adultos y estimar el costo de la recopilación y notificación de datos, independientemente de los esfuerzos de mejora de la calidad.
Diseño, configuración y participantes Estudio retrospectivo de costos basado en actividades basadas en el tiempo en el Hospital Johns Hopkins (Baltimore, Maryland) con personal del hospital involucrado en procesos de informes de métricas de calidad entrevistado entre el 1 de enero de 2019 y el 30 de junio de 2019 sobre las actividades de informes de calidad en el año calendario 2018.
Principales resultados y medidas Los resultados incluyeron el número de métricas, las horas-persona anuales por tipo de métrica y el costo anual de personal por tipo de métrica.
Se identificaron un total de 162 métricas únicas, de las cuales 96 (59,3%) se basaron en reclamaciones, 107 (66,0%) fueron métricas de resultados y 101 (62,3%) estaban relacionadas con la seguridad del paciente. La preparación y presentación de datos para estas métricas requirió un estimado de 108 478 horas-persona, con un costo de personal estimado de $ 5 038 218.28 (2022 USD) más $ 602 730.66 adicionales en honorarios de proveedores. Las métricas basadas en reclamos (96 métricas; $ 37 553.58 por métrica por año) y abstraídas de gráficos (26 métricas; $ 33 871.30 por métrica por año) utilizaron la mayor cantidad de recursos por métrica, mientras que las métricas electrónicas consumieron mucho menos (4 métricas; $ 1901.58 por métrica por año).
Conclusiones y pertinencia Se gastan recursos significativos exclusivamente para informes de calidad, y algunos métodos de evaluación de la calidad son mucho más caros que otros. Inesperadamente, se descubrió que las métricas basadas en notificaciones eran las que consumían más recursos de todos los tipos de métricas. Los responsables de la formulación de políticas deberían considerar reducir el número de métricas y cambiar a métricas electrónicas, cuando sea posible, para optimizar los recursos gastados en la búsqueda general de una mayor calidad.
Introducción
Los costos de atención médica en los Estados Unidos son altos y están aumentando, con gastos que aumentan del 8.9% del producto interno bruto en 1980 al 19.7% en 2020. 1 En respuesta, los responsables políticos han promovido modelos de pago que fomentan el valor, buscando optimizar la calidad de la atención y reducir los costos. 2 Los programas de pago por desempeño y los modelos de capitación ajustados por riesgo y calidad son ejemplos destacados de esta estrategia. 3,4
Múltiples organizaciones gubernamentales y privadas (por ejemplo, los Centros de Servicios de Medicare y Medicaid [CMS], The Leapfrog Group) han creado y promovido métricas y calificaciones de calidad, pero estos esfuerzos generalmente no se han coordinado. En los últimos años, ha aumentado la preocupación por la carga financiera para el sistema de atención médica de los Estados Unidos de múltiples requisitos para la medición de la calidad y la presentación de informes. 5,6 Se estima que los costos de administración de la atención médica representan entre el 15% y el 30% del gasto total nacional en atención médica,7 y los enfoques de pago por desempeño que incentivan involuntariamente un mayor gasto en la revisión de gráficos y la optimización de la codificación pueden contribuir. Hasta la fecha, pocos informes han cuantificado todos los costos de medición de la calidad y reportan 8,9 independientemente de los recursos gastados para mejorar la calidad y la seguridad.
La cuantificación de la carga de la presentación de informes podría aumentar la comprensión de la «rentabilidad» general de la medición de la calidad, creando oportunidades para que los responsables de la formulación de políticas mejoren la eficiencia de la asignación de recursos hospitalarios y la calidad de la atención. Es particularmente importante en sistemas capitados y basados en valores, como el modelo de Ingresos Presupuestarios Globales de Maryland, que a menudo se ve como un caso de demostración para futuros programas nacionales. 10 Para informar dicha formulación de políticas, identificamos métricas de calidad y seguridad reportadas anualmente en el Hospital Johns Hopkins, un gran centro médico académico en Maryland. Luego se utilizó el costo basado en actividades basado en el tiempo11,12 para estimar el tiempo anual del personal y el costo financiero para el hospital de los informes de métricas de calidad (excluyendo el tiempo dedicado a diseñar o implementar intervenciones de mejora de la calidad). El Hospital Johns Hopkins informa métricas generalmente relevantes en todo Estados Unidos, así como métricas específicas de Maryland. Nos centramos en las métricas impuestas por las agencias gubernamentales y por las organizaciones nacionales de calificación ampliamente seguidas.

Métodos
Definiciones
Según lo definido por el Foro Nacional de Calidad, una métrica (o medida) es una «cuantificación numérica de la calidad de la atención médica para un proveedor de atención médica designado» que consiste en un conjunto único de especificaciones que describen cómo debe construirse y calcularse. 13 Por ejemplo, el indicador de seguridad del paciente 04 es una métrica única. En 2018, el Hospital Johns Hopkins informó los resultados del Indicador de Seguridad del Paciente 04 a 4 organizaciones (CMS, The Leapfrog Group, Maryland Health Care Commission y US News & World Report).
Inventario y caracterización de métricas de calidad
Utilizamos una base de datos compilada y actualizada rutinariamente por nuestro departamento de calidad hospitalaria para reunir una lista completa de métricas reportadas en 2018 a 7 organizaciones gubernamentales y nacionales prominentes de calificación de atención médica. Se incluyeron solo métricas para pacientes hospitalizados adultos y del departamento de emergencias. Se excluyeron las métricas utilizadas solo para registros o certificaciones específicas de especialidades (p. ej., cateterismo cardíaco) porque dichas métricas pueden no ser relevantes para muchos hospitales. Del mismo modo, excluimos las métricas de pagadores comerciales, que, en 2018, consistían en informes emitidos en respuesta a solicitudes independientes de los pagadores. Estimamos que el esfuerzo colectivo fue relativamente pequeño (<5% del tiempo dedicado a las métricas incluidas en este estudio). Además, había una amplia variación de un pagador a otro y de un año a otro. Al excluir tanto el registro específico de la especialidad como los informes de pagadores comerciales, nuestro objetivo fue crear un caso base más generalizable para los hospitales a nivel nacional, aceptando cierta subestimación potencial en estos 2 aspectos altamente variables.
Las métricas se caracterizaron utilizando 3 marcos: (1) método de determinación (basado en reclamaciones, resumido de gráficos, electrónico [medido e informado a través del registro electrónico de salud], encuesta o informe directo de pacientes o personal, o sumativo [métricas que informan evaluaciones generales de la atención hospitalaria y ensambladas a partir de combinaciones de métricas de las categorías anteriores]); (2) el modelo donabediano de estructura-proceso-resultado,14 modificado para incluir la satisfacción del paciente y las categorías de pago; y (3) los dominios de calidad de la Academia Nacional de Medicina (anteriormente el Instituto de Medicina) de seguridad, efectividad, eficiencia, puntualidad, equidad y centrado en el paciente. 15 Los marcos Donabedian14 y National Academy of Medicine15 para categorizar las métricas de calidad son 2 de los esquemas más utilizados para conceptualizar la calidad de la atención. Para cada marco, 1 autor (S.J.M.) asignó una característica a cada métrica y un segundo autor (S.A.B.) revisó la asignación. En el Suplemento 1 se proporcionan más detalles sobre la caracterización de las medidas.
Recopilación de datos y análisis de costos basado en actividades basado en el tiempo
Desde el 1 de enero de 2019 hasta el 30 de junio de 2019, 1 investigador (S.J.M.) realizó entrevistas semiestructuradas en persona con personal de informes de métricas de calidad. Ninguna persona a la que se pidió que se entrevistara se negó. Para fomentar la presentación de informes imparciales sobre el tiempo empleado, prometimos anonimato, registrando solo el tipo de rol y no los nombres u otros identificadores. Completamos 75 entrevistas, recolectando información sobre el trabajo de 168 personas. De estos, la mayor proporción (n = 46) fue en el liderazgo clínico (p. ej., vicepresidente médico departamental), seguido de la mejora de la calidad y la documentación clínica (Tabla 1). Veintidós individuos eran médicos y 59 (incluyendo el 88% del personal de mejora de la calidad del hospital) tenían títulos de enfermería.
Con base en un modelo descrito anteriormente para métricas ambulatorias,8 evaluamos el tiempo dedicado a los informes de calidad en las siguientes categorías mutuamente excluyentes: (1) ingresar información exclusivamente con fines de informes de calidad, (2) revisar informes de calidad de entidades externas, (3) rastrear especificaciones métricas de calidad, (4) desarrollar e implementar procesos de recopilación de datos, y (5) recopilar y validar datos que se utilizarán en la medición de calidad. Los encuestados recordaron las horas semanales dedicadas a actividades de presentación de datos en el año calendario anterior (2018) por ellos mismos y su personal de informes directos cuyo tiempo se sentían seguros de informar. Solo debían informar el tiempo dedicado a la adquisición y presentación de informes de datos métricos de calidad, excluyendo todo el tiempo dedicado a diseñar e implementar intervenciones de mejora de la calidad. Los encuestados podrían proporcionar estimaciones de tiempo como lógico para su trabajo (por ejemplo, horas / semana, «X horas dos veces / año»). Más tarde, el entrevistador anualizó los resultados para la estimación de costos. Se pidió a los encuestados que diferenciaran el tiempo dedicado entre varios tipos de métricas (por ejemplo, basadas en reclamaciones, abstraídas de gráficos), pero si no podían podían atribuir su tiempo (total) como «no categorizado» por tipo de métrica. Debido a que las métricas sumativas (por ejemplo, la calificación de estrellas de CMS) son métricas de nivel superior formadas por combinaciones de otras métricas para las cuales el tiempo ya se contó, no atribuimos tiempo adicional del personal, sino que conservamos estas métricas porque son ampliamente reconocidas.
Debido a que las actividades de informes de datos de calidad se superponen con otros aspectos de la adquisición y presentación de informes de datos hospitalarios, incluida la facturación, la acreditación y la investigación, se excluyó el tiempo y los costos relacionados con estas actividades para garantizar que se presente una estimación lo más conservadora posible sobre los informes de métricas de calidad. Es importante destacar que incluimos el tiempo del personal (principalmente especialista en documentación clínica) dedicado a generar consultas de documentación clínica para métricas de calidad. Aunque se generan muchas consultas de documentación para la facturación, los encuestados sintieron que podían distribuir el tiempo con precisión. Por el contrario, excluimos de manera conservadora el tiempo de respuesta a las consultas por parte de los médicos y los médicos de atención avanzada porque no esperaríamos que distinguieran la facturación de las consultas relacionadas con la calidad.
Los costos de personal se calcularon utilizando costos basados en actividades impulsados por el tiempo. 16,17 Con el objetivo de estimar datos relevantes a nivel nacional, adquirimos datos salariales representativos (excluyendo beneficios y bonificaciones) de la encuesta anual de profesores de la Association of American Medical Colleges 2017-2018, referencias salariales medias nacionales de recursos humanos institucionales y GlassDoor.com, utilizando salarios medios a nivel nacional para puestos análogos. Todos los valores de las monedas se ajustaron por inflación a dólares estadounidenses de 2022 utilizando el Índice de Precios al Consumidor promedio de la ciudad de los Estados Unidos. 18 Los salarios medios individuales por hora se estimaron dividiendo el salario anual por las horas semanales trabajadas, suponiendo un año laboral de 48 semanas. El costo total de personal para la institución se calculó multiplicando estas tarifas por hora por las horas reportadas dedicadas a tareas de informes de datos de calidad. Se realizó un análisis de sensibilidad mediante la realización de este cálculo utilizando los límites de estimación de salario mínimo y máximo. Estimamos los costos del año calendario 2018 de los contratos con firmas de análisis y calificación promediando los costos del contrato para los años fiscales 2018 y 2019.
Resultados
Métricas reportadas
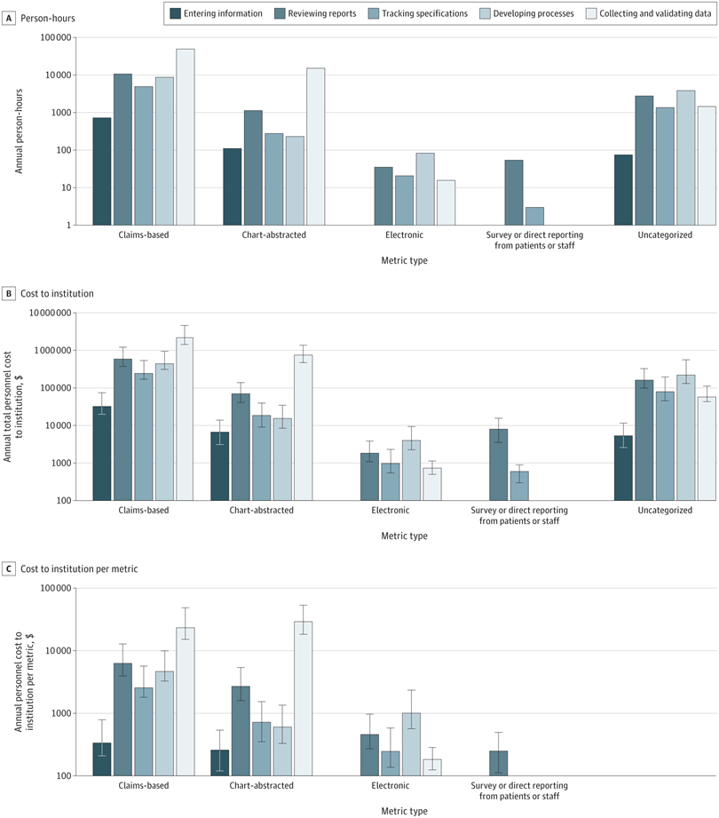
Se identificaron un total de 162 métricas únicas que el hospital informó a 7 organizaciones de medición en 2018 (Tabla 2), con un total de 271 informes (algunas métricas se informaron a múltiples organizaciones). La mayoría de los informes (191 [70,5%]) contribuyeron a los informes de calidad hospitalaria disponibles públicamente, pero no afectaron el pago; 73 (26,9%) informes fueron incluidos en programas de pago por desempeño y 7 (2,6%) fueron monitoreados por agencias externas, pero no fueron reportados públicamente ni incluidos en programas de pago. De las 162 métricas únicas (una lista completa de métricas está disponible en la tabla electrónica en el Suplemento 2), el método más común de determinación fue basado en reclamos (96 métricas [59.3%]), seguido de encuestas o informes directos de pacientes o personal (32 [19.8%]), resumidos en gráficos (26 [16.0%]), electrónicos (4 [2.5%]) y sumativos (4 [2.5%]) (Figura 1A). Cuando se evaluó utilizando el marco donabediano, la categoría más común fue el resultado, con 107 (66,0%) métricas (Figura 1B). Cuando se caracterizó por dominios de la Academia Nacional de Medicina, la seguridad comprendió el dominio más frecuente, con 101 (62,3%) métricas (Figura 1C).

Horas-persona y costo de personal de informes de datos de calidad
En todas las categorías métricas (basadas en reclamaciones, resumidas de gráficos, electrónicas, encuestas o informes directos de pacientes o personal, y sin categorizar [tiempo que los encuestados no pudieron diferenciar por tipo de métrica]), se gastaron un total de 108 478 horas-persona al año, la mayoría de las cuales se consumieron en la recopilación y validación de datos (71 078 horas [65,5%]), seguidas de la revisión de informes (15 758 horas [14,5%]), procesos en desarrollo (13 680 horas [12,6%]), seguimiento de especificaciones (7019 horas [6,5%]) e introducción de información (943 horas [0,9%]) (Figura 2A). Por categoría métrica, las métricas basadas en reclamaciones (80 218 horas [73,9%]) y resumidas en gráficos (17 975 horas [16,6%]) ocuparon la mayor parte del tiempo, seguidas por el tiempo sin categorizar (10 068 horas [9,3%]), las métricas electrónicas (159 horas [0,1%]) y la encuesta o informes directos de pacientes o personal (59 horas [0,05%]) (Tabla 3).

Teniendo en cuenta los salarios anuales de las personas involucradas, se estimó que el costo anual total de personal de la presentación de datos de calidad era de $ 5 038 218.28, con métricas basadas en reclamaciones que representan un estimado de $ 3 605 144.01 (71.6%) de ese costo (Tabla 3). Las métricas abstraídas de gráficos también constituyeron una fracción considerable del costo total de personal ($ 880 653.76 [17.5%]), seguido por el tiempo sin categorizar ($ 536 191.31 [10.6%]), métricas electrónicas ($ 7606.31 [0.2%]) y encuestas o informes directos de métricas de pacientes o personal ($ 8622.89 [0.2%]). La recolección y validación de datos fue la actividad más costosa ($3 087 698.08 [61.3%]), seguida de la revisión de informes ($855 179.39 [17.0%]) (Figura 2B-C). Un análisis de sensibilidad utilizando los rangos más bajo y más alto para las estimaciones de sueldos dio como resultado un intervalo de certeza de $ 3 258 380.27 a $ 10 524 732.43 (Tabla 3).

Las métricas basadas en reclamaciones y abstraídas de gráficos requerían la mayor cantidad de horas-persona por métrica (836 y 691 horas-persona por métrica por año, respectivamente) y los costos más altos ($ 37 553.58 y $ 33 871.30 por métrica por año, respectivamente), mientras que las métricas electrónicas requerían menos (40 horas-persona y $ 1901.58 por métrica por año) (Tabla 3). El costo de personal y los recursos persona-hora que los participantes no pudieron diferenciar por tipo métrico (sin categorizar) se excluyeron del análisis por métrica. Las tarifas totales de proveedores del año calendario 2018 (ajustadas a la inflación a 2022) para US News & World Report, Vizient y un proveedor de encuestas de experiencia del paciente se estimaron en $ 602 730.66 (número total presentado para proteger la información contractual patentada).

Discusión
En un solo centro médico académico, se informaron 162 métricas únicas a organizaciones externas en 2018. Utilizando costos basados en actividades basados en el tiempo, se estimó de manera conservadora que la preparación y presentación de datos para evaluaciones externas de calidad para 1 hospital consume aproximadamente 108 000 horas-persona a un costo de personal de aproximadamente $ 5.0 millones por año, con aproximadamente $ 600 000 adicionales en contratos de proveedores relacionados. Estas estimaciones excluyen notablemente el tiempo dedicado a actividades de mejora de la calidad y solo se refieren a la preparación y presentación de informes de datos de calidad. Las medidas que consumieron más recursos fueron las basadas en reclamaciones (836 horas-persona/métrica; 37.553,58 dólares/métrica) y las métricas resumidas en gráficos (691 horas-persona/métrica; 33 871,30 USD/métrica).
Los $ 5.6 millones por año gastados en informes de calidad son una pequeña fracción de los $ 2.4 mil millones en gastos anuales del Hospital Johns Hopkins19 y pueden ser proporcionalmente más altos que en hospitales más pequeños. En cualquier caso, los hallazgos actuales, cuando se extrapolan a los más de 4100 hospitales no gubernamentales de cuidados agudos en los Estados Unidos,20 sugieren gastos anuales a nivel nacional de miles de millones de dólares simplemente por informar datos de calidad.
El total de $ 5.6 millones por año está notablemente cerca de una estimación citada por una encuesta de la Academia Nacional de Medicina a ejecutivos de salud sobre el costo de las infraestructuras de medición de calidad de sus hospitales. 21 Otro estudio encuestó a 3 administradores de centros médicos académicos por el costo anual de recopilar y validar datos solo para la medida central de sepsis de CMS, encontrando cifras que van desde $ 134 000 a $ 2 millones. 22 Aunque el presente estudio examinó el asunto con una contabilidad de costos en profundidad, la concordancia es tranquilizadora. Se han realizado varios estudios en el ámbito ambulatorio. Una firma de análisis de datos de salud que respalda a las organizaciones de atención responsable de atención primaria informó 108 métricas en sus diversos contratos de organización de atención responsable. 23 Otro grupo estimó que, a nivel nacional, los informes de datos de calidad de la práctica ambulatoria en 3 especialidades cuestan $ 15.4 mil millones anuales y requieren 15 horas de tiempo del personal por médico por semana. 8 Finalmente, un estudio informó que el costo anual para las prácticas de atención primaria de responder a las consultas de las aseguradoras para 4 programas de informes de calidad es inferior a $ 100 a $ 4300 por médico. 24
Otro hallazgo del estudio actual que vale la pena enfatizar es la intensidad de recursos de las métricas basadas en reclamos y abstraídas de gráficos. Aunque se podría esperar que las métricas abstraídas de gráficos consuman muchos recursos dada la revisión manual de gráficos, las métricas basadas en notificaciones sorprendentemente representaron el tipo de métrica que consume más tiempo, a pesar de generarse a partir de datos administrativos «recopilados de todos modos» para la facturación. Es posible que esto se deba al desafío de representar con precisión el estado de salud del paciente en los datos codificados por la Clasificación Internacional de Enfermedades. La validación de los datos administrativos a menudo requiere confirmar la especificidad de un diagnóstico (p. ej., neumonía o sepsis resultante de neumonía) y si hubo comorbilidades modificadoras del riesgo al ingreso. Aunque el orden o el volumen de los códigos de comorbilidad o el indicador «presente en la admisión» pueden no afectar la facturación, estos detalles pueden alterar significativamente el rendimiento en las métricas basadas en reclamaciones ajustadas al riesgo. Por lo tanto, los hospitales han invertido en una gran infraestructura (principalmente especialistas en documentación clínica y especialistas en calidad) para revisar la documentación y aumentar la especificidad y precisión de la codificación. Tenga en cuenta que la optimización de códigos representa la recopilación y validación de datos, no la mejora real de la calidad de la atención, porque representar con precisión la atención actual es distinto de hacer esfuerzos para modificar las prácticas de atención actuales.
Por el contrario, se encontró que las medidas electrónicas de calidad clínica (informadas automáticamente a partir de los datos de los registros electrónicos de salud) consumían muchos menos recursos. En particular, solo hubo 4 medidas electrónicas de calidad clínica que el hospital informó a organizaciones externas en 2018. Este bajo volumen puede reflejar la novedad de este tipo de medidas y la dificultad de diseñar medidas electrónicas de calidad clínica de alta calidad. Ciertamente, no todas las áreas clave de la calidad de la atención médica podrían explorarse con medidas electrónicas de calidad clínica, pero puede haber un papel para aumentar la inversión en el diseño de otras más efectivas, potencialmente con la participación directa de los proveedores de registros electrónicos de salud.
En particular, el costo total anual de personal para encuestas o informes directos de pacientes o métricas de personal ($ 8622.89) sería mucho mayor cuando se incluyen las tarifas de proveedores relacionadas. Debido a que las tarifas de los proveedores pueden variar ampliamente, estos costos se mantuvieron separados en los informes.
A medida que los sistemas de pago por desempeño continúan creciendo en la atención médica de los Estados Unidos, debemos considerar la rentabilidad de la medición de la calidad. Aunque este estudio no aborda este tema matizado, se está llevando a cabo un trabajo fundamental y revelador sobre la rentabilidad de la métrica de calidad, principalmente en entornos ambulatorios. 8,24-26 Trabajos recientes han demostrado que el alto desempeño de los médicos de atención primaria en el Sistema de Pago de Incentivos basado en el Mérito de Medicare puede no correlacionarse con una atención al paciente de mayor calidad, pero está fuertemente asociado con el tamaño de la práctica médica y la inscripción en el sistema de salud, lo que implica el impacto de una gran infraestructura para recopilar, validar e informar datos para métricas de atención ambulatoria. 26
A medida que continúan los esfuerzos para refinar la implementación de la medición de la calidad, los responsables políticos, los diseñadores de métricas de calidad y los ejecutivos de hospitales deben considerar los costos asociados con los informes actuales de métricas de calidad hospitalaria. Las posibles vías para reducir la carga de los informes de calidad de los pacientes hospitalizados incluyen reducir el número de métricas generales e invertir en el desarrollo de métricas electrónicas que puedan ser inmediatamente representativas de la enfermedad del paciente y la atención brindada sin requerir múltiples revisiones de conjuntos de códigos de diagnóstico o revisiones extensas de gráficos.
Limitaciones
Este estudio tiene varias limitaciones. En primer lugar, es probable que los resultados subestimen los recursos totales y el costo involucrados en la presentación de informes de calidad por varias razones. Se excluyó el tiempo dedicado a actividades que afectan las métricas de calidad pero que se dirigen principalmente a otros objetivos (abstracción del registro, acreditación, facturación e investigación), así como el tiempo de los médicos y clínicos de atención avanzada dedicados a responder consultas. Los honorarios de los proveedores para las encuestas de compromiso del personal, como la encuesta de cultura de seguridad, tampoco se incluyeron porque se superponen con los objetivos de recursos humanos y no son estrictamente informes de datos de calidad. A continuación, aunque se utilizó un enfoque sistemático en el proceso de entrevista, es posible que hubiera individuos no incluidos en esta estimación. Las métricas de las aseguradoras privadas tampoco se consideraron, y este trabajo se limitó a considerar las métricas de calidad de los pacientes hospitalizados. Por último, las bonificaciones y prestaciones no se incluyeron en las estimaciones salariales. Estas decisiones se tomaron a priori con el objetivo de producir una estimación de caso base conservadora, pero más generalizable. En segundo lugar, las estimaciones de tiempo guiadas por recuerdo individual, que tienen cierta falta de fiabilidad inherente, pero es el estándar utilizado por estudios anteriores. En tercer lugar, las entrevistas y la recopilación de datos fueron completadas por un solo individuo, lo que podría introducir sesgo tanto en las respuestas de los encuestados como en la interpretación de las respuestas por parte del entrevistador. En cuarto lugar, este estudio solo incluye datos de un solo hospital, uno que es grande y tiene un departamento de revisión de calidad dedicado, que puede no ser generalizable a todos los hospitales de EE. Sin embargo, la mayoría de los hospitales tienen algún tipo de personal de revisión de calidad con un proceso de revisión razonablemente similar.
Quinto, estas estimaciones de costos incluyen 65 métricas específicas de Maryland requeridas para el pago por desempeño en Maryland bajo una exención de CMS. 4 Sin embargo, es poco probable que la estimación esté muy inflada en comparación con el resto del país porque 60 de las 65 métricas específicas de Maryland son condiciones individuales potencialmente prevenibles dentro del programa de Condiciones Adquiridas del Hospital de Maryland. Aunque se representan como 60 métricas adicionales, la mayor parte de la revisión y validación de la documentación de las Condiciones Adquiridas del Hospital de Maryland se realiza a nivel mundial, con covariables y exclusiones de ajuste de riesgo que se aplican ampliamente en todo el programa de Condiciones Adquiridas del Hospital de Maryland. Los líderes sénior de calidad hospitalaria del Johns Hopkins Hospital estiman que menos o igual al 5% del esfuerzo de informes de calidad se gasta, colectivamente, en los informes de condiciones adquiridas del hospital de Maryland y que, incluidas las otras 5 métricas específicas de Maryland, la cantidad que todas las métricas específicas de Maryland podrían inflar el costo anual de informes en comparación con los hospitales que no son de Maryland debe ser menor o igual al 10%, haciendo que las estimaciones de costos en este artículo sean relativamente generalizables.
Conclusiones
En 2018, el Hospital Johns Hopkins informó los resultados de 162 métricas de calidad únicas para agencias gubernamentales y privadas prominentes a nivel nacional, 97 de las cuales fueron aplicables a hospitales de todo el país. La preparación de datos de calidad para su presentación a estas organizaciones externas requirió aproximadamente 108 000 horas-persona y costó aproximadamente 5,0 millones de dólares en gastos de personal, con aproximadamente 600.000 dólares adicionales para contratos de proveedores relacionados y excluyendo todo el tiempo dedicado a intervenciones de mejora de la calidad. Las métricas basadas en reclamos fueron las que más recursos consumieron, utilizando aproximadamente 800 horas-persona y $ 35 000 por métrica por año. La innovación futura debería considerar la reducción del volumen de métricas y el desarrollo de métricas electrónicas adicionales no basadas en reclamaciones.